ADSENSE HERE!
1. Program Linear
Seorang pemilik toko sepatu ingin mengisi tokonya dengan sepatu laki-laki paling sedikit 100 pasang dan sepatu wanita paling sedikit 150 pasang. Toko tersebut hanya dapat menampung 400 pasang sepatu. Keuntungan setiap pasang sepatu laki-laki adalah Rp 10.000,00 dan keuntungan setiap pasang sepatu wanita adalah Rp 5.000,00. Jika banyaknya sepatu laki-laki tidak boleh melebihi 150 pasang, maka tentukanlah keuntungan terbesar yang dapat diperoleh oleh pemilik toko.
*Pembahasan :
fungsi tujuannya adalah :
F(x,y) = 10.000x + 5.000y
Dengan pemisalan :
sepatu laki-laki = x
sepatu perempuan = y
Sistem pertidaksamaan untuk soal tersebut adalah sebagai berikut :
x + y <= 400
100 => x <= 150
150 => y <= 250
Karena maksimum sepatu laki-laki hanya 150 pasang, maka maksimum sepatu perempuan = 400 - 150 = 250
Dari sistem pertidaksamaan tersebut, maka diperoleh grafik
sebagai berikut
Sistem
pertidaksamaan linear
|
Dari grafik jelas telihat bahwa keuntungan maksimum berada pada titik pojok paling atas yaitu titik (150,250). Maka nilai maksimum dari fungsi tujuan F(x,y) = 10.000x + 5000y adalah :
F(150,250) = 150 (10.000) + 250 (5.000) = 2.750.000
Jadi, keuntungan terbesar yang dapat diperoleh pemilik toko adalah Rp 2.750.000,00.
2)
Menjelang hari raya Idul Adha, Pak Mahmud hendak menjual sapi
dan kerbau. Harga seekor sapi dan kerbau di Medan berturut-turut Rp
9.000.000,00 dan Rp 8.000.000,00. Modal yang dimiliki pak Mahmud adalah Rp
124.000.000,00. Pak Mahmud menjual sapi dan kerbau di Aceh dengan harga
berturut-turut Rp 10.300.000,00 dan Rp 9.200.000,00. Kandang yang ia miliki
hanya dapat menampung tidak lebih dari 15 ekor. Agar mencapai keuntungan
maksimum, tentukanlah banyak sapi dan kerbau yang harus dibeli pak Mahmud.
Pembahasan :
Karena ditanya keuntungan, tentu fungsi tujuannya adalah besar keuntungan dari penjualan sapi dan kerbau. Untuk itu, tentukan terlebih dahulu keuntungan menjual sapi dan kerbau sebagai berikut :
untung sapi = Rp 10.300.000,00 - Rp 9.000.000,00 = Rp 1.300.000,00
untung kerbau = Rp 9.200.000,00 - Rp 8.000.000,00 = Rp 1.200.000,00
Misalkan banyak sapi = x dan banyak kerbau = y, maka fungsi tujuan menjadi :
F(x,y) = 1.300.000x + 1.200.000y
Model matematika yang memenuhi soal adalah :
x >= 0 ---> banyak sapi tidak mungkin negatif
y >= 0 ---> banyak kerbau tidak mungkin negatif
x + y <= 15 ---> karena kandang hanya dapat menampung 15 ekor.
Karena modal Pak Mahmud Rp 124.000.000,00 maka :
9.000.000x + 8.000.000y <= 124.000.000 ---> disederhanakan menjadi :
9x + 8y <= 124
Karena ditanya keuntungan, tentu fungsi tujuannya adalah besar keuntungan dari penjualan sapi dan kerbau. Untuk itu, tentukan terlebih dahulu keuntungan menjual sapi dan kerbau sebagai berikut :
untung sapi = Rp 10.300.000,00 - Rp 9.000.000,00 = Rp 1.300.000,00
untung kerbau = Rp 9.200.000,00 - Rp 8.000.000,00 = Rp 1.200.000,00
Misalkan banyak sapi = x dan banyak kerbau = y, maka fungsi tujuan menjadi :
F(x,y) = 1.300.000x + 1.200.000y
Model matematika yang memenuhi soal adalah :
x >= 0 ---> banyak sapi tidak mungkin negatif
y >= 0 ---> banyak kerbau tidak mungkin negatif
x + y <= 15 ---> karena kandang hanya dapat menampung 15 ekor.
Karena modal Pak Mahmud Rp 124.000.000,00 maka :
9.000.000x + 8.000.000y <= 124.000.000 ---> disederhanakan menjadi :
9x + 8y <= 124
Selanjutnya, kita tentukan titik koordinat masing-masing
garis agar dapat kita gambar dalam grafik.
Untuk x + y = 15
jika x = 0, maka y = 15 ---> (0,15)
jika y = 0, maka x = 15 ---> (15,0)
Untuk x + y = 15
jika x = 0, maka y = 15 ---> (0,15)
jika y = 0, maka x = 15 ---> (15,0)
Untuk 9x + 8y = 124
jika x = 0, maka y = 15,5 ---> (0, 16) ---> digenapkan karena jumlah sapi tidak mungkin 1/2.
jika y = 0, maka x = 13,7 ---> (13 ,0) ---> digenapkan menjadi 13 karena melihat kondisi grafik, titik ini akan menjadi titik pojok, jadi 13,7 tidak digenapkan ke 14 karena jika dibulatkan ke 14 maka akan lebih dari Rp 124.000.000,00.
jika x = 0, maka y = 15,5 ---> (0, 16) ---> digenapkan karena jumlah sapi tidak mungkin 1/2.
jika y = 0, maka x = 13,7 ---> (13 ,0) ---> digenapkan menjadi 13 karena melihat kondisi grafik, titik ini akan menjadi titik pojok, jadi 13,7 tidak digenapkan ke 14 karena jika dibulatkan ke 14 maka akan lebih dari Rp 124.000.000,00.
Dari grafik di atas dieproleh tiga
titik pojok yang memenuhi syarat untuk menghasilkan nilai maksimum yaitu titik
A, B, dan C. Titi A dan C dapat ditentukan secara langsung yaitu A(0,15) dan
C(13,0). Titik B merupakan titik potong antara garis x + y = 15 dan 9x + 8y =
124.
x + y = 15 , maka x = 15 - y ---> substitusi ke persamaan 9x + 8y = 124
9(15 - y) + 8y = 124
135 - 9y + 8y = 124
y = 11
x + y = 15 , maka x = 15 - y ---> substitusi ke persamaan 9x + 8y = 124
9(15 - y) + 8y = 124
135 - 9y + 8y = 124
y = 11
x + y = 15
x + 11 = 15
x = 4 ----> jadi titik B(4,11)
Selanjutnya substitusi masing-masing titik ke fungsi tujuan :
A(0,15) ---> f(x,y) = 1.300.000(0) + 1.200.000(15) = 18.000.000
B(4,11) ---> f(x,y) = 1.300.000(4) + 1.200.000(11) = 18.400.000
C(13,0) ---> f(x,y) = 1.300.000(13) + 1.200.000(0) = 16.900.000
Jadi, agar keuntungannya maksimum, jumlah sapi dan kerbau yang harus dibeli pak Mahmud adalah 4 ekor sapi dan 11 ekor kerbau.
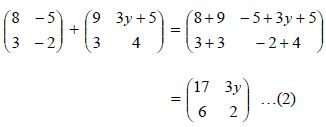
2 2. Matriks
1
*Pembahasan :
*Pembahasan :
3 3. Komposisi Fungsi dan Fungsi Invers
1)
Diberikan
dua buah fungsi masing-masing f(x) dan g(x) berturut-turut adalah:
f(x) = 3x + 2
g(x) = 2 − x
g(x) = 2 − x
Tentukan:
a) (f o g)(x)
b) (g o f)(x)
a) (f o g)(x)
b) (g o f)(x)
*Pembahasan :
a) (f o g)(x)
"Masukkan g(x) nya ke f(x)"
sehingga:
(f o g)(x) = f ( g(x) )
= f (2 − x)
= 3(2 − x) + 2
= 6 − 3x + 2
= − 3x + 8
b) (g o f)(x)
"Masukkan f (x) nya ke g (x)"
sehingga:
(g o f)(x) = g ( f (x) )
= g ( 3x + 2)
= 2 − ( 3x + 2)
= 2 − 3x − 2
= − 3x
2)
Diketahui
f(x) = x³ + 4 dan g(x) = 2sinx. Nilai dari (f o g)(-90) adalah…
*Pembahasan
:
(f o g)(x) = f(g(x))
= (g(x))³ + 4
= (2sinx)³ + 4
= 8sin³x + 4
Jadi, ( f o g)
(-90) adalah
= 8sin³(-90) + 4
= 8.(-1) + 4
= -8 + 4 = -4.
4.
Persamaan Garis Lurus
Tentukan
persamaan garis yang melalui titik (3, 1) dan tegak lurus dengan garis y = 2x +
5
*Pembahasan :
*Pembahasan :
1) Dua buah garis
saling tegak lurus jika memenuhi syarat sebagai berikut
m1 ⋅ m2 = −1
y = 2x + 5 memiliki gradien m1 = 2, sehingga garis yang akan dicari persamaannya harus memiliki gradien
m1 ⋅ m2 = −1
2 ⋅ m2 = −1
m2 = − 1/2
Tinggal disusun persamaan garisnya
y − y1 = m(x − x1)
y − 1 = 1/2(x − 3)
y − 1 = 1/2 x − 3/2
y = 1/2 x − 3/2 + 1
y = 1/2 x = 1/2
m1 ⋅ m2 = −1
y = 2x + 5 memiliki gradien m1 = 2, sehingga garis yang akan dicari persamaannya harus memiliki gradien
m1 ⋅ m2 = −1
2 ⋅ m2 = −1
m2 = − 1/2
Tinggal disusun persamaan garisnya
y − y1 = m(x − x1)
y − 1 = 1/2(x − 3)
y − 1 = 1/2 x − 3/2
y = 1/2 x − 3/2 + 1
y = 1/2 x = 1/2
2) Persamaan garis lurus
yang melalui titik (–2, –1) dan tegak lurus garis 4x – 3y + 5 = 0 adalah ....
A. 4y + 3x + 10 =
0
C. 4y – 3x + 10 = 0
B. 4y + 3x – 10 =
0
D. 4y – 3x – 10 = 0
*Pembahasan :
Persamaan Garis melalui (–2, –1) dan tegak
lurus 4x – 3y + 5 = 0
4x – 3y + 5 = 0
a = 4
b = -3
m1 =
-a / b
m1 =
-4 / -3 = 4/3
Karena persamaan garis yang kita cari tegak
lurus dengan garis yang diketahui maka kita cari m2 sehingga
berlaku m1 x m2 = -1.
m1 x m2 =
-1
4/3 x m2 =
-1
m2 =
-3/4
Persamaan Garis yang
dicari adalah
y – y1
= m2 (x – x1)
y – (-1) = -3/4 (x –
(-2))
y + 1 =
-3/4 (x + 2)
4(y + 1) = -3(x + 2)
4y + 4 = -3x -6
4y + 3x + 4 + 6 = 0
4y + 3x + 10 = 0 (A)
5.
Barisan Dan Deret Tak Hingga
1) Sebuah mobil dibeli dengan haga Rp. 80.000.000,00. Setiap tahun
nilai jualnya menjadi 3/4 dari harga sebelumnya. Berapa nilai jual setelah
dipakai 3 tahun ?
A. Rp. 20.000.000,00
B. Rp. 25.312.500,00
C. Rp. 33.750.000,00
D. Rp. 35.000.000,00
E. Rp. 45.000.000,00
*Pembahasan :
rasionya 3/4 dan termasuk dalam deret geometri.
Yang jadi pertanyaannya adalah
suku ke-4 dengan a = 80.000.000
u4 = ar3 =
80.000.000(3/4)3 = 33.750.000 (C)
2) Sebuah bola jatuh dari ketinggian 10 m dan memantul kembali dengan
ketinggian 3/4 kali tinggi sebelumnya, begitu seterusnya hingga bola berhenti.
Jumlah seluruh lintasan bola adalah …
A. 65m
B. 70m
C. 75m
D. 77m
E. 80m
*Pembahasan :
Karena bola memantul
terus-terusan sampai berhenti, berarti ini termasuk deret geometri tak hingga.
Untuk mencari panjang lintasan bola yang memantul ini, rumus yang digunakan
adalah
Panjang
lintasan = ketinggian bola jatuh + 2(kali deret takhingga)
Dalam deret takhingga ini, yang
menjadi suku pertamaya adalah pantulan pertama (bukan ketinggian bola jatuh
pada awal).
Pantulan pertama = 10 x 3/4 =
30/4 m (suku pertama)
6. Rumus-Rumus Segitiga dalam Trigonometri
1 1) Pada segitiga ABC, ∠ A =30o, BC = 6 dan AC = 10, tentukan berapa besar
∠B
*Pembahasan :
∠B = BC/sin A = AC/ sin B
6/ sin 30o = 10/ sin B
6/ 0,5 = 10 / sin B
12 = 10/sin B
sin B = 10/12 = 5/6
maka sudut B adalah 56,44o
6/ sin 30o = 10/ sin B
6/ 0,5 = 10 / sin B
12 = 10/sin B
sin B = 10/12 = 5/6
maka sudut B adalah 56,44o
Tentukan jarak antar titik Pdan Q
*Pembahasan :
Dari gambar di atas terlihat bentuk segitiga dan jarak antar titik
P dan Q bisa dicari dengan menggunakan aturan cosinus.
Besar sudut POQ = 180o – (75o+45o)
= 60o.
PQ2 = OQ2 + OP2 – 2.OQ.OP cos ∠POQ
PQ2 = 32 + 52 – 2.3.5 cos 60o c
PQ2 = 9 + 25 – 30. 0,5
PQ2 = 9 + 25 -15
PQ2 = 19
PQ = √19 = 4,36
PQ2 = OQ2 + OP2 – 2.OQ.OP cos ∠POQ
PQ2 = 32 + 52 – 2.3.5 cos 60o c
PQ2 = 9 + 25 – 30. 0,5
PQ2 = 9 + 25 -15
PQ2 = 19
PQ = √19 = 4,36
ADSENSE HERE!















AYO SUKSESKAN !
ReplyDeleteASIAN GAMES 2018 Sudah Di Depan Mata <3
Bersiap-Siap dan Sambutlah Kemeriahan Pesta Olahraga Asia ini Bersama Kami, AGENS128 !!!
Dan Pastinya Dapatkan Berbagai Bonus KEMERDEKAAN & ASIANGAMES dari AGENS128
*BONUS ENERGY!!(hot)
*Bonus 10% untuk Member Baru
*Bonus refferal 5% +2%
*Bonus CashBack 10%
(BBM): AGENS128
WhatsApp : 087789221725
LINE: AGENS1288
KEEP THE DREAM ALIVE !!!
Bosan tidak tahu mau mengerjakan apa pada saat santai, ayo segera uji keberuntungan kalian
ReplyDeletehanya di D*EW*A*P*K / pin bb D87604A1
dengan hanya minimal deposit 10.000 kalian bisa memenangkan uang jutaan rupiah
dapatkan juga bonus rollingan 0.3% dan refferal 10% :)
ingin mendapatkan uang banyak dengan cara cepat ayo segera bergabung dengan kami di f4n5p0k3r
ReplyDeletePromo Fans**poker saat ini :
- Bonus Freechips 5.000 - 10.000 setiap hari (1 hari dibagikan 1 kali) hanya dengan minimal deposit 50.000 dan minimal deposit 100.000 ke atas
- Bonus Cashback 0.5% dibagikan Setiap Senin
- Bonus Referal 20% Seumur Hidup dibagikan Setiap Kamis
Ayo di tunggu apa lagi Segera bergabung ya, di tunggu lo ^.^